Home > Product Center > Agent Brand > ANLET > ANLET Roots Blower

BWH
Category:ANLET

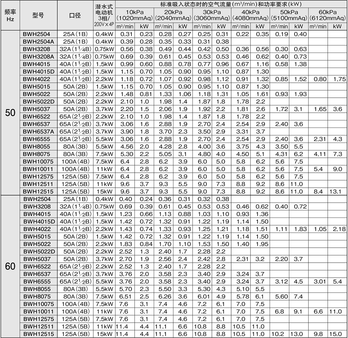
Technical parameters

bwh

Advantages

1. 1.The three-lobes rotor and the double helical housing can minimize noise and vibration. The endless casing achieves energy-saving requirements.

2. Operates with clean air and oil-free, no oil mist diffusion that pollutes the environment.

3. The integrated rotor&shaft is free from wear and can operate continuously without reducing the performance.

4. The body is rigid and compact, high-efficiency lobes can operate at high speeds.

5. Maintenance easy and simple. Special bearings ensure a long service life of the blower.

6. Special mechanism to prevent gear oil leakage that eliminates oil leakage problem.

7. Various models are available. Please choose the appropriate type according to your needs.

Advantages

Hotline
0755-27537366
Consulting services: Welcome to fill out the form to contact.
We will have someone contact you as soon as possible!
Fill out the form now
WeChat Contact: Dedicated Rapid Response
Go Now

Please fill out the form below completely.
We look forward to your inquiry and will get back to you as soon as possible.
Vacuum Converter(This is a theoretical value calculated by the formula for reference only)

SINCE

1987

  • Shenzhen Headquarter
  • Suzhou
  • Tianjin
  • Taipei